목차
백준 단계별로 풀어보기
25.11.30
17단계: 조합론
1010번: 다리 놓기
문제 링크 : https://www.acmicpc.net/problem/1010
문제를 풀기 위해 알아야 할 개념
>> 조합의 개수
: 서로 다른 n 개에서 순서를 생각하지 않고 k 개를 선택하는 조합의 수는 아래 공식과 같다.
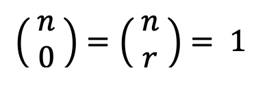
--> k = 0 이거나 n = k 라면 조합의 개수는 1개다.


>> 파스칼 삼각형과 조합



▶ 이를 조합 공식으로 나타내면 다음과 같다.
: 각각 '조합 공식 / 간단히 표현 / n과 r의 이항계수' 를 나타낸 것이다.



▶ 예시
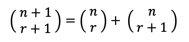
: a b c 3개의 공 중에서 2개의 공을 뽑는 경우의 수는 'a를 선택할 경우' + 'a를 선택하지 않을 경우' 이다. 즉, a 외에 '나머지 2개 중 1개를 고를 경우' + '나머지 2개 중에서 2개 모두 고르는 경우' 이다.
--> 따라서 n 개의 공에서 r 개를 뽑는 경우의 수는 이미 하나를 뽑았다고 생각하고 n - 1 개의 공에서 r - 1 개를 뽑는 경우와 n - 1 개의 공에서 r 개를 뽑는 경우를 더한 것과 같다. (nCr = [n-1]C[r-1] + [n-1]Cr)
→ 이를 바탕으로 결국 더 이상 쪼개지지 않을 때까지, 즉 nC0 = 1이 될 때까지 재귀를 통해 구할 수 있다.
※ 참고 블로그
조합 공식 + 파스칼 삼각형
조합 공식 + 파스칼 삼각형
velog.io
문제 풀이
>> 오답노트
: 재귀함수 형태로 조합의 개수를 구했더니 시간 초과로 실패했다.
- 작성한 코드
<hide/>
using System.IO;
using System.Text;
class Backjoon
{
static void Main(string[] args)
{
using var sr = new StreamReader(Console.OpenStandardInput());
using var sw = new StreamWriter(Console.OpenStandardOutput());
StringBuilder sb = new StringBuilder();
int t = int.Parse(sr.ReadLine());
for (int i = 0; i < t; i++)
{
string[] input = sr.ReadLine().Split();
int n = int.Parse(input[0]);
int m = int.Parse(input[1]);
sb.AppendLine(Combination(m, n).ToString());
}
sw.Write(sb.ToString());
}
static long Combination(int n, int r)
{
if (n == r || r == 0)
return 1;
return Combination(n - 1, r - 1) + Combination(n - 1, r);
}
}
>> 최종 수정
: 2차원 배열로 모든 값을 미리 계산해두고 입력값에 맞는 값을 출력하는 방식으로 변경하여 시간을 단축했다.
--> int의 범위를 초과하는 경우가 있으니 long 타입으로 만들어야 한다.
- StreamReader로 입력값을 받아 int값으로 변환하여 테스트 케이스의 개수를 담을 변수 t 에 담는다.
- long 타입의 2차원 배열 c 를 [30, 30]의 크기로 초기화한다. (0 < N ≤ M < 30 이기 때문)
- 이중 for 반복문을 통해 모든 조합의 개수를 미리 구한다.
- nC0 = nCn = 1 로 값을 넣는다.
- for 반복문을 통해 파스칼 삼각형으로 조합의 개수를 구하여 값을 넣는다.
- for 반복문을 통해 테스트 케이스 개수만큼 반복하여 StreamReader로 입력값을 받아 각각 int값으로 변환하여 서쪽과 동쪽에 있는 사이트의 개수를 담을 변수 n 과 m 에 담고, 미리 구한 해당 값의 조합의 개수를 StringBuilder에 담는다.
- StreamWriter로 StringBuilder에 담은 값을 출력한다.
정답 코드
using System.IO;
using System.Text;
class Backjoon
{
static void Main(string[] args)
{
using var sr = new StreamReader(Console.OpenStandardInput());
using var sw = new StreamWriter(Console.OpenStandardOutput());
StringBuilder sb = new StringBuilder();
int t = int.Parse(sr.ReadLine());
long[,] c = new long[30, 30];
for (int i = 0; i < 30; i++)
{
c[i, 0] = c[i, i] = 1;
for (int j = 1; j < i; j++)
{
c[i, j] = c[i - 1, j - 1] + c[i - 1, j];
}
}
for (int i = 0; i < t; i++)
{
string[] input = sr.ReadLine().Split();
int n = int.Parse(input[0]);
int m = int.Parse(input[1]);
sb.AppendLine(c[m, n].ToString());
}
sw.Write(sb);
}
}'Development > Baekjoon' 카테고리의 다른 글
| [C#] 25192번: 인사성 밝은 곰곰이 (0) | 2025.12.02 |
|---|---|
| [C#] 1037번: 약수 (0) | 2025.12.01 |
| [C#] 11050번: 이항 계수 1 (0) | 2025.11.29 |
| [C#] 10872번: 팩토리얼 (0) | 2025.11.28 |
| [C#] 24723번: 녹색거탑 (0) | 2025.11.27 |